MATHEMAGIC 19: BINOMIAL
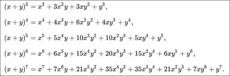
A relation between the binomial coefficients
and the numbers in the harmonic sequence (1/1, 1/2, 1/3, ...)
A relation between the binomial coefficients
and the numbers in the harmonic sequence (1/1, 1/2, 1/3, ...)
Maak jouw eigen website met JouwWeb